metafor: A Meta-Analysis Package for R

License: GPL (>=2) R build status Code Coverage CRAN Version devel Version Monthly Downloads Total Downloads

Description

The metafor package is a comprehensive collection of functions for conducting meta-analyses in R. The package includes functions to calculate various effect sizes or outcome measures, fit equal-, fixed-, random-, and mixed-effects models to such data, carry out moderator and meta-regression analyses, and create various types of meta-analytical plots (e.g., forest, funnel, radial, L’Abbé, Baujat, bubble, and GOSH plots). For meta-analyses of binomial and person-time data, the package also provides functions that implement specialized methods, including the Mantel-Haenszel method, Peto’s method, and a variety of suitable generalized linear (mixed-effects) models (i.e., mixed-effects logistic and Poisson regression models). Finally, the package provides functionality for fitting meta-analytic multivariate/multilevel models that account for non-independent sampling errors and/or true effects (e.g., due to the inclusion of multiple treatment studies, multiple endpoints, or other forms of clustering). Network meta-analyses and meta-analyses accounting for known correlation structures (e.g., due to phylogenetic relatedness) can also be conducted.

Package Website

The metafor package website can be found at https://www.metafor-project.org. On the website, you can find:

Documentation

A good starting place for those interested in using the metafor package is the following paper:

Viechtbauer, W. (2010). Conducting meta-analyses in R with the metafor package. Journal of Statistical Software, 36(3), 1-48. https://doi.org/10.18637/jss.v036.i03

In addition to reading the paper, carefully read the package intro and then the help pages for the escalc and the rma.uni functions (or the rma.mh, rma.peto, rma.glmm, rma.mv functions if you intend to use these methods). The help pages for these functions provide links to many additional functions, which can be used after fitting a model. You can also read the entire documentation online at https://wviechtb.github.io/metafor/ (where it is nicely formatted, equations are shown correctly, and the output from all examples is provided).

Note that the documentation provided at https://wviechtb.github.io/metafor/ is based on the development version of the package (see below). Therefore, if an example from the documentation does not work as intended, try out the development version first.

Installation

The current official (i.e., CRAN) release can be installed within R with:

install.packages("metafor")

The development version of the package can be installed with:

install.packages("remotes")
remotes::install_github("wviechtb/metafor")

This builds the package from source based on the current version on GitHub.

Example

# load metafor package
library(metafor)

# examine the BCG vaccine dataset
dat.bcg
##    trial               author year tpos  tneg cpos  cneg ablat      alloc
## 1      1              Aronson 1948    4   119   11   128    44     random
## 2      2     Ferguson & Simes 1949    6   300   29   274    55     random
## 3      3      Rosenthal et al 1960    3   228   11   209    42     random
## 4      4    Hart & Sutherland 1977   62 13536  248 12619    52     random
## 5      5 Frimodt-Moller et al 1973   33  5036   47  5761    13  alternate
## 6      6      Stein & Aronson 1953  180  1361  372  1079    44  alternate
## 7      7     Vandiviere et al 1973    8  2537   10   619    19     random
## 8      8           TPT Madras 1980  505 87886  499 87892    13     random
## 9      9     Coetzee & Berjak 1968   29  7470   45  7232    27     random
## 10    10      Rosenthal et al 1961   17  1699   65  1600    42 systematic
## 11    11       Comstock et al 1974  186 50448  141 27197    18 systematic
## 12    12   Comstock & Webster 1969    5  2493    3  2338    33 systematic
## 13    13       Comstock et al 1976   27 16886   29 17825    33 systematic
# tpos  - number of TB positive cases in the treated (vaccinated) group
# tneg  - number of TB negative cases in the treated (vaccinated) group
# cpos  - number of TB positive cases in the control (non-vaccinated) group
# cneg  - number of TB negative cases in the control (non-vaccinated) group
#
# these variables denote the values in 2x2 tables of the form:
#
#           TB+    TB-
#         +------+------+
# treated | tpos | tneg |
#         +------+------+
# control | cpos | cneg |
#         +------+------+
#
# year  - publication year of the study
# ablat - absolute latitude of the study location (in degrees)
# alloc - method of treatment allocation (random, alternate, or systematic assignment)

# calculate log risk ratios and corresponding sampling variances for the BCG vaccine dataset
dat <- escalc(measure="RR", ai=tpos, bi=tneg, ci=cpos, di=cneg, data=dat.bcg,
              slab=paste(author, year, sep=", ")) # also add study labels
dat
##    trial               author year tpos  tneg cpos  cneg ablat      alloc      yi     vi
## 1      1              Aronson 1948    4   119   11   128    44     random -0.8893 0.3256
## 2      2     Ferguson & Simes 1949    6   300   29   274    55     random -1.5854 0.1946
## 3      3      Rosenthal et al 1960    3   228   11   209    42     random -1.3481 0.4154
## 4      4    Hart & Sutherland 1977   62 13536  248 12619    52     random -1.4416 0.0200
## 5      5 Frimodt-Moller et al 1973   33  5036   47  5761    13  alternate -0.2175 0.0512
## 6      6      Stein & Aronson 1953  180  1361  372  1079    44  alternate -0.7861 0.0069
## 7      7     Vandiviere et al 1973    8  2537   10   619    19     random -1.6209 0.2230
## 8      8           TPT Madras 1980  505 87886  499 87892    13     random  0.0120 0.0040
## 9      9     Coetzee & Berjak 1968   29  7470   45  7232    27     random -0.4694 0.0564
## 10    10      Rosenthal et al 1961   17  1699   65  1600    42 systematic -1.3713 0.0730
## 11    11       Comstock et al 1974  186 50448  141 27197    18 systematic -0.3394 0.0124
## 12    12   Comstock & Webster 1969    5  2493    3  2338    33 systematic  0.4459 0.5325
## 13    13       Comstock et al 1976   27 16886   29 17825    33 systematic -0.0173 0.0714
# fit random-effects model
res <- rma(yi, vi, data=dat, test="knha")
res
## Random-Effects Model (k = 13; tau^2 estimator: REML)
##
## tau^2 (estimated amount of total heterogeneity): 0.3132 (SE = 0.1664)
## tau (square root of estimated tau^2 value):      0.5597
## I^2 (total heterogeneity / total variability):   92.22%
## H^2 (total variability / sampling variability):  12.86
##
## Test for Heterogeneity:
## Q(df = 12) = 152.2330, p-val < .0001
##
## Model Results:
##
## estimate      se     tval  df    pval    ci.lb    ci.ub
##  -0.7145  0.1808  -3.9522  12  0.0019  -1.1084  -0.3206  **
##
## ---
## Signif. codes:  0 '***' 0.001 '**' 0.01 '*' 0.05 '.' 0.1 ' ' 1
# predicted pooled risk ratio (with 95% confidence/prediction intervals)
predict(res, transf=exp, digits=2)
## pred ci.lb ci.ub pi.lb pi.ub
## 0.49  0.33  0.73  0.14  1.76
# forest plot
forest(res, atransf=exp, at=log(c(.05, .25, 1, 4)), xlim=c(-16,6),
       ilab=cbind(tpos, tneg, cpos, cneg), ilab.xpos=c(-9.5,-8,-6,-4.5),
       header="Author(s) and Year", shade="zebra")
text(c(-9.5,-8,-6,-4.5), 15,   c("TB+", "TB-", "TB+", "TB-"), font=2)
text(c(-8.75,-5.25),     15.8, c("Vaccinated", "Control"),    font=2)

# funnel plot
funnel(res, ylim=c(0,0.8), las=1)

# regression test for funnel plot asymmetry
regtest(res)
## Regression Test for Funnel Plot Asymmetry
##
## Model:     mixed-effects meta-regression model
## Predictor: standard error
##
## Test for Funnel Plot Asymmetry: t = -0.7812, df = 11, p = 0.4512
## Limit Estimate (as sei -> 0):   b = -0.5104 (CI: -1.2123, 0.1915)
# mixed-effects meta-regression model with absolute latitude as moderator
res <- rma(yi, vi, mods = ~ ablat, data=dat, test="knha")
res
## Mixed-Effects Model (k = 13; tau^2 estimator: REML)
##
## tau^2 (estimated amount of residual heterogeneity):     0.0764 (SE = 0.0591)
## tau (square root of estimated tau^2 value):             0.2763
## I^2 (residual heterogeneity / unaccounted variability): 68.39%
## H^2 (unaccounted variability / sampling variability):   3.16
## R^2 (amount of heterogeneity accounted for):            75.62%
##
## Test for Residual Heterogeneity:
## QE(df = 11) = 30.7331, p-val = 0.0012
##
## Test of Moderators (coefficient 2):
## F(df1 = 1, df2 = 11) = 12.5905, p-val = 0.0046
##
## Model Results:
##
##          estimate      se     tval  df    pval    ci.lb    ci.ub
## intrcpt    0.2515  0.2839   0.8857  11  0.3948  -0.3735   0.8764
## ablat     -0.0291  0.0082  -3.5483  11  0.0046  -0.0472  -0.0111  **
##
## ---
## Signif. codes:  0 '***' 0.001 '**' 0.01 '*' 0.05 '.' 0.1 ' ' 1
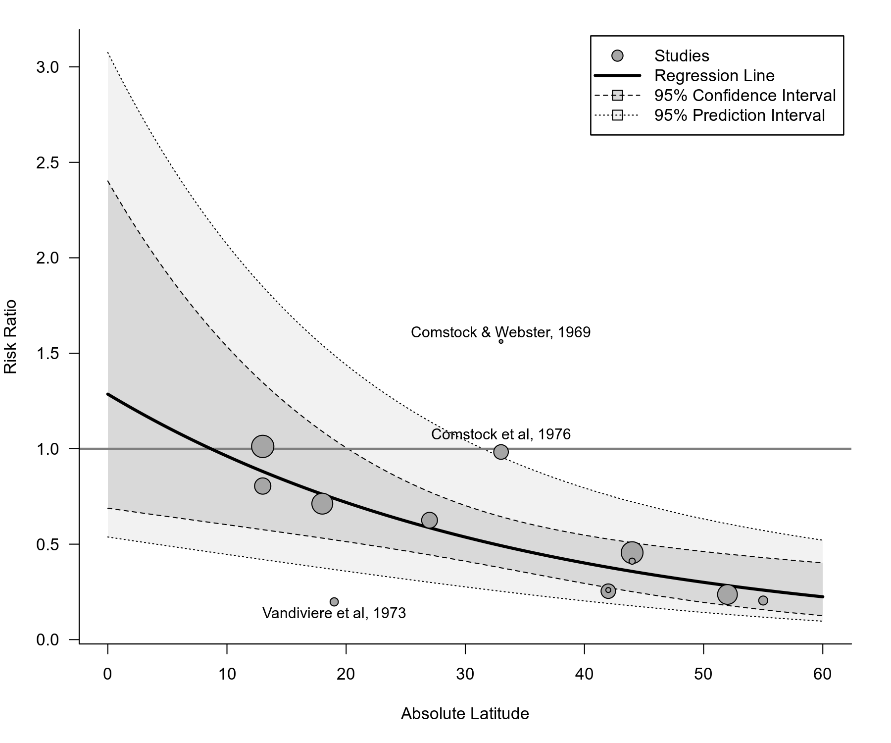
# bubble plot (with points outside of the prediction interval labeled)
regplot(res, mod="ablat", pi=TRUE, xlab="Absolute Latitude",
        xlim=c(0,60), predlim=c(0,60), transf=exp, refline=1, legend=TRUE,
        label="piout", labsize=0.9, bty="l", las=1, digits=1)

Meta

The metafor package was written by Wolfgang Viechtbauer. It is licensed under the GNU General Public License. For citation info, type citation(package='metafor') in R. To report any issues or bugs or to suggest enhancements to the package, please go here.