
The surveil R package provides time series models for routine public health surveillance tasks: model time trends in mortality or disease incidence rates to make inferences about levels of risk, cumulative and period percent change, age-standardized rates, and health inequalities.
surveil is an interface to Stan, a state-of-the-art platform for Bayesian inference. For analysis of spatial health data see the geostan R package.
surveil is available on CRAN; install from R using:
install.packages("surveil")Review the package vignettes to get started:
vignette("demonstration"): An introduction to health
modeling with surveilvignette("age-standardization"): How to age-standardize
surveil model results and compare age-stratified
populationsAlso see the online documentation.
Model time series data of mortality or disease incidence by loading the surveil package into R together with disease surveillance data. Tables exported from CDC WONDER are automatically in the correct format.
library(surveil)
library(knitr)
data(cancer)
kable(head(cancer), 
      booktabs = TRUE,
      caption = "Table 1. A glimpse of cancer surveillance data")| Year | Age | Count | Population | 
|---|---|---|---|
| 1999 | <1 | 866 | 3708753 | 
| 1999 | 1-4 | 2959 | 14991152 | 
| 1999 | 5-9 | 2226 | 20146188 | 
| 1999 | 10-14 | 2447 | 19742631 | 
| 1999 | 15-19 | 3875 | 19585857 | 
| 1999 | 20-24 | 5969 | 18148795 | 
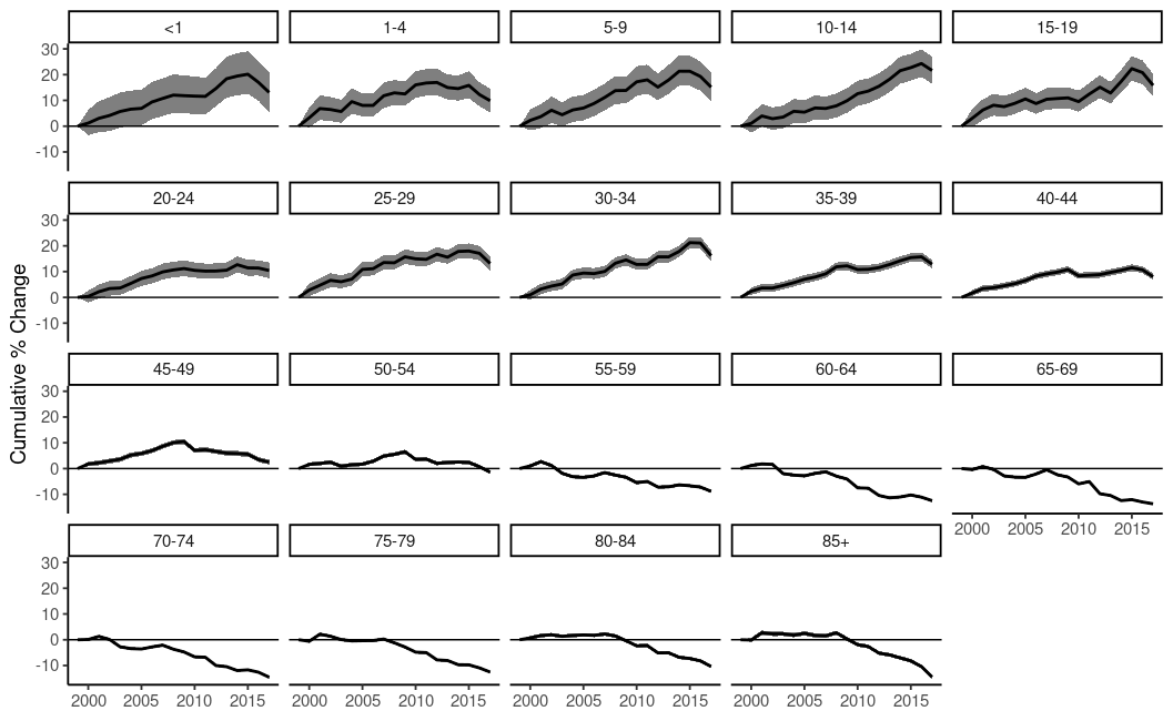
Model trends in risk and easily view functions of risk estimates, such as cumulative percent change:
fit <- stan_rw(data = cancer,
               time = Year, 
               group = Age,
           cores = 4 # multi-core processing for speed
           )
fit_apc <- apc(fit)
plot(fit_apc, cumulative = TRUE)
Cumulative percent change in US cancer incidence by age
group